Beranda
/ Rumus Varians Excel - Menghitung Standar Deviasi Sampel Dengan Microsoft Excel / Untuk menemukan koefisien variasi, masukkan rumus = a8 / a9 untuk contoh ini atau rentang aktual anda dalam sel kosong dan tekan enter untuk menghitung koefisien varians.
Rumus Varians Excel - Menghitung Standar Deviasi Sampel Dengan Microsoft Excel / Untuk menemukan koefisien variasi, masukkan rumus = a8 / a9 untuk contoh ini atau rentang aktual anda dalam sel kosong dan tekan enter untuk menghitung koefisien varians.
Rumus Varians Excel - Menghitung Standar Deviasi Sampel Dengan Microsoft Excel / Untuk menemukan koefisien variasi, masukkan rumus = a8 / a9 untuk contoh ini atau rentang aktual anda dalam sel kosong dan tekan enter untuk menghitung koefisien varians.. Oleh karena itu, kami mengambil $ 165.721 dibagi $ 150.000, dikurangi satu, dan menyatakan. Perhitungan sesuai rumus sebagai contoh kita ingin menghitung varians skor total data di bawah ini: Hasilnya ditulis dengan format angka persentase. Dalam artikel ini kita akan membahas cara melakukan uji homogenitas fisher f dengan menggunakan aplikasi ms excel 2007/2010/2013 atau di atasnya. Enthält word, excel und powerpoint.
Menstabilkan varians dengan ms excel data deret waktu. Salin contoh data di dalam tabel berikut ini dan tempel ke dalam sel a lembar kerja excel yang baru. Pada artikel sebelumnya kita sudah membahas konsepsi transformasi data yang tujuannya untuk menstabilkan varians (keragaman) pada data, khususnya pada pembahasan data deret waktu. B9 adalah rentang sel yang ingin anda hitung varians populasinya. =stdev (b3:b12) akan menghasilkan 10,3971.
Rumus Standar Deviasi Dan Contoh Cara Menghitungnya from biofar.id Jika data mewakili seluruh populasi, gunakan fungsi stdevp. Buat grafik varians atau perbedaan panah di excel. Maka, sesuai rumus diatas, anda akan menghitung: Masukkan rumus di bawah ini ke dalam sel d2 untuk menghitung perbedaan antara anggaran dan nilai aktual, lalu seret gagang isian ke sel yang anda butuhkan, lihat tangkapan layar: Klik atau klik dua kali ikon excel yang tampak seperti huruf x hijau dengan latar belakang hijau dan putih. Perhitungan sesuai rumus sebagai contoh kita ingin menghitung varians skor total data di bawah ini: Kalau dilakukan di ms excel tentu akan lebih mudah lagi tinggal drag and drop aja! Hasil perhitungan di atas menunjukkan bahwa varians dari distribusi skor pada tabel di atas adalah sebesar 821,77.
Kalau dilakukan di ms excel tentu akan lebih mudah lagi tinggal drag and drop aja!
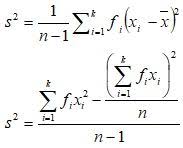
Jika perlu, anda dapat menyesuaikan lebar kolom untuk melihat semua data. Menghitung varians sangat mirip dengan menghitung standar deviasi. Seperti pada contoh berikut, rumus dalam i5 adalah: Maka, sesuai rumus diatas, anda akan menghitung: Buat grafik varians atau perbedaan panah di excel. Klik atau klik dua kali ikon excel yang tampak seperti huruf x hijau dengan latar belakang hijau dan putih. Pilih sel kosong dan ketikkan rumus ini = var.p (b2: Dalam uji homogenitas kita mengenal beberapa jenis uji dan salah satunya adalah uji homogenitas variansi atau yang disebut juga uji fisher f. \s=\sqrt{s^2}\ oleh karena itu, jika salah satu nilai dari kedua ukuran tersebut diketahui maka akan diketahui juga nilai ukuran yang lain. B9 adalah rentang sel yang ingin anda hitung varians populasinya. Untuk menemukan koefisien variasi, masukkan rumus = a8 / a9 untuk contoh ini atau rentang aktual anda dalam sel kosong dan tekan enter untuk menghitung koefisien varians. Untuk kuadrat data, bisa dilakukan dengan rumus biasa, misalnya =b7*b7 atau bisa juga =b7^2. Pada video tutorial ini menampilkan bagaimana mencari nilai:1.
Thanks you for watching :) Jika perlu, anda dapat menyesuaikan lebar kolom untuk melihat semua data. Agar rumus menunjukkan hasil, pilih datanya, tekan f2, lalu tekan enter. Halaman peluncur excel (launch page) akan dibuka setelahnya.jika anda memiliki dokumen excel dengan data yang ingin digunakan, klik dua kali dokumen tersebut untuk membukanya di excel, kemudian beralihlah ke langkah klik kotak kosong. Jika data mewakili seluruh populasi, gunakan fungsi stdevp.
Cara Menghitung Standar Deviasi Simpangan Baku Di Excel Dengan Berbagai Rumus Fungsi Excel Compute Expert from computeexpert.com Klik atau klik dua kali ikon excel yang tampak seperti huruf x hijau dengan latar belakang hijau dan putih. Sebelum kita lanjutkan pada rumus tersebut kami mengajak kawan kawan semuanya untuk melihat. Pertama, buat data kolom pembantu. Gambar di atas adalah contoh simulasi 20 data dalam excel. Rumus excel stdev menghitung simpangan baku untuk sekumpulan data sampel. Salin contoh data di dalam tabel berikut ini dan tempel ke dalam sel a lembar kerja excel yang baru. Rumus variansi digunakan untuk mengukur keragaman (variasi) data. Dalam artikel ini kita akan membahas cara melakukan uji homogenitas fisher f dengan menggunakan aplikasi ms excel 2007/2010/2013 atau di atasnya.
Untuk membuat grafik varians panah untuk membandingkan perbedaan persentase perubahan tahun 2020 berdasarkan tahun 2019, pertama, anda harus memasukkan beberapa kolom pembantu untuk menghitung data dasar seperti gambar di bawah ini:
Buat bagan varian anggaran vs varian aktual di excel. Rumus excel stdev menghitung simpangan baku untuk sekumpulan data sampel. Pada video tutorial ini menampilkan bagaimana mencari nilai:1. =stdev (b3:b12) akan menghasilkan 10,3971. Klik atau klik dua kali ikon microsoft excel yang tampak seperti huruf x putih dengan latar belakang hijau tua. Informasi dari tabel di atas bila diolah menggunakan rumus varians (unbiased estimate) dengan kelas interval, maka akan diperoleh hasil: Fungsi stdev dimaksudkan untuk memperkirakan standar deviasi dalam sampel. =var (b3:b12) akan menghasilkan 108,1. Varians skor total secara perhitungan manual dirumuskan, berikut ini: Dalam contoh analisis di atas kita melihat bahwa perkiraan pendapatan adalah $ 150.000 dan hasil sebenarnya adalah $ 165.721. Buat grafik varians atau perbedaan panah di excel. Masukkan rumus di bawah ini ke dalam sel d2 untuk menghitung perbedaan antara anggaran dan nilai aktual, lalu seret gagang isian ke sel yang anda butuhkan, lihat tangkapan layar: Pilih sel kosong dan ketikkan rumus ini = var.p (b2:
Menstabilkan varians dengan ms excel data deret waktu. Agar rumus menunjukkan hasil, pilih datanya, tekan f2, lalu tekan enter. Salin contoh data di dalam tabel berikut ini dan tempel ke dalam sel a lembar kerja excel yang baru. Informasi dari tabel di atas bila diolah menggunakan rumus varians (unbiased estimate) dengan kelas interval, maka akan diperoleh hasil: Contoh rumus analisis varians (dengan template excel) mari kita lihat beberapa contoh sederhana hingga lanjutan dari formula analisis varian untuk memahaminya dengan lebih baik.
Rumus Standar Deviasi Cara Menghitung Dan Contoh Soal from www.dosenpendidikan.co.id =stdev (b3:b12) akan menghasilkan 10,3971. Sintak penulisan varian pada rumus excel. B9 adalah rentang sel yang ingin anda hitung varians populasinya. Sebelum kita lanjutkan pada rumus tersebut kami mengajak kawan kawan semuanya untuk melihat. Masukkan rumus di bawah ini ke dalam sel d2 untuk menghitung perbedaan antara anggaran dan nilai aktual, lalu seret gagang isian ke sel yang anda butuhkan, lihat tangkapan layar: Buat bagan varian anggaran vs varian aktual di excel. Agar rumus menunjukkan hasil, pilih datanya, tekan f2, lalu tekan enter. Maka, sesuai rumus diatas, anda akan menghitung:
Pertama, buat data kolom pembantu.
Sintak penulisan varian pada rumus excel. Kali ini admin akan membahas contoh penggunaan rumus excel var (varian). Number1, number2,… dapat diganti dengan dengan suatu range dari beberapa cells, misalnya b3:b12 yaitu menghitung simpangan baku dan ragam dari data yang terdapat pada cell b3 s/d b12. Dalam artikel ini kita akan membahas cara melakukan uji homogenitas fisher f dengan menggunakan aplikasi ms excel 2007/2010/2013 atau di atasnya. Kumpulan rumus excel lengkap dan fungsinya sama seperti kode perintah cmd pada laptop windows rumus di aplikasi microsoft excel juga sangat beragam dan pastinya memiliki fungsi yang berbeda beda geng. Itulah tutorial cara menghitung rumus standar deviasi di excel menggunakan fungsi yang sudah disediakan, yang bisa membantu anda untuk mengerjakan pekerjaan anda. B9 adalah rentang sel yang ingin anda hitung varians populasinya. Seperti pada contoh berikut, rumus dalam i5 adalah: Kalau dilakukan di ms excel tentu akan lebih mudah lagi tinggal drag and drop aja! Rumus variansi digunakan untuk mengukur keragaman (variasi) data. =h5/ average (b5:f5) h5 memuat perhitungan standar deviasi b5:f5. Salin contoh data di dalam tabel berikut ini dan tempel ke dalam sel a lembar kerja excel yang baru. Untuk menemukan koefisien variasi, masukkan rumus = a8 / a9 untuk contoh ini atau rentang aktual anda dalam sel kosong dan tekan enter untuk menghitung koefisien varians.
Berbagi
Posting Komentar
untuk "Rumus Varians Excel - Menghitung Standar Deviasi Sampel Dengan Microsoft Excel / Untuk menemukan koefisien variasi, masukkan rumus = a8 / a9 untuk contoh ini atau rentang aktual anda dalam sel kosong dan tekan enter untuk menghitung koefisien varians."
Posting Komentar untuk "Rumus Varians Excel - Menghitung Standar Deviasi Sampel Dengan Microsoft Excel / Untuk menemukan koefisien variasi, masukkan rumus = a8 / a9 untuk contoh ini atau rentang aktual anda dalam sel kosong dan tekan enter untuk menghitung koefisien varians."